題型一:運動的合成與分解問題
題型概述:
運動的合成與分解問題常見的模型有兩類。一是繩(桿)末端速度分解的問題,二是小船過河的問題,兩類問題的關鍵都在于速度的合成與分解。

思維模板:
(1)在繩(桿)末端速度分解問題中,要注意物體的實際速度一定是合速度,分解時兩個分速度的方向應取繩(桿)的方向和垂直繩(桿)的方向;如果有兩個物體通過繩(桿)相連,則兩個物體沿繩(桿)方向速度相等。
(2)小船過河時,同時參與兩個運動,一是小船相對于水的運動,二是小船隨著水一起運動,分析時可以用平行四邊形定則,也可以用正交分解法,有些問題可以用解析法分析,有些問題則需要用圖解法分析。
題型二:拋體運動問題
題型概述:
拋體運動包括平拋運動和斜拋運動,不管是平拋運動還是斜拋運動,研究方法都是采用正交分解法,一般是將速度分解到水平和豎直兩個方向上。

思維模板:

題型三 圓周運動問題
題型概述:圓周運動問題按照受力情況可分為水平面內的圓周運動和豎直面內的圓周運動,按其運動性質可分為勻速圓周運動和變速圓周運動。水平面內的圓周運動多為勻速圓周運動,豎直面內的圓周運動一般為變速圓周運動。對水平面內的圓周運動重在考查向心力的供求關系及臨界問題,而豎直面內的圓周運動則重在考查最高點的受力情況。
思維模板:
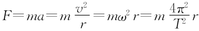
(1)對圓周運動,應先分析物體是否做勻速圓周運動,若是,則物體所受的合外力等于向心力,由

列方程求解即可;若物體的運動不是勻速圓周運動,則應將物體所受的力進行正交分解,物體在指向圓心方向上的合力等于向心力。
(2)豎直面內的圓周運動可以分為三個模型:
繩模型:只能對物體提供指向圓心的彈力,能通過最高點的臨界態為重力等于向心力。

桿模型:可以提供指向圓心或背離圓心的力,能通過最高點的臨界態是速度為零。
題型四:天體運動類問題
題型概述:
天體運動類問題是牛頓運動定律與萬有引力定律及圓周運動的綜合性題目,近幾年來考查頻率極高。
思維模板:
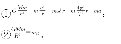
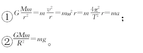
對天體運動類問題,應緊抓兩個公式:

對于做圓周運動的星體(包括雙星、三星系統),可根據公式①分析;對于變軌類問題,則應根據向心力的供求關系分析軌道的變化,再根據軌道的變化分析其他各物理量的變化,具體分析如下。

題型五:機車的啟動問題
題型概述:

思維模板:

注意:
(1)機車以額定功率啟動。過程發動機做的功只能用W=Pt計算,不能用W=Fs計算(因為F為變力)。
(2)機車以恒定加速度啟動時,第1過程發動機做的功只能用W=Fs計算,不能用W=Pt計算(因為P為變功率)。
題型六:以能量為核心的綜合應用問題
題型概述:
以能量為核心的綜合應用問題一般分四類。第一類為單體機械能守恒問題,第二類為多體系統機械能守恒問題,第三類為單體動能定理問題,第四類為多體系統功能關系(能量守恒)問題。多體系統的組成模式:兩個或多個疊放在一起的物體,用細線或輕桿等相連的兩個或多個物體,直接接觸的兩個或多個物體。
思維模板:
能量問題的解題工具一般有動能定理、能量守恒定律、機械能守恒定律。
(1)動能定理使用方法簡單,只要選定物體和過程,直接列出方程即可,動能定理適用于所有過程;
(2)能量守恒定律同樣適用于所有過程,分析時只要分析出哪些能量減少,哪些能量增加,根據減少的能量等于增加的能量列方程即可;
(3)機械能守恒定律只是能量守恒定律的一種特殊形式,但在力學中也非常重要。很多題目都可以用兩種甚至三種方法求解,可根據題目情況靈活選取